Gust-Factor
The gust factor is the ratio of the maximum wind speed that occurs within a time step to the mean wind speed in that time step:
where:
is the maximum wind speed that occurs in time step i
is the mean wind speed in time step i
## Gust Averaging Time
The ‘maximum wind speed’ or ‘maximum gust’ in a time step depends on the gust averaging time. The maximum one-second gust, meaning the maximum speed averaged over a one-second interval, will exceed the maximum three-second gust, which will in turn exceed the maximum 30-second gust.
When calculating high wind hysteresis effects on wind turbine power production, Openwind sometimes needs to estimate the gust factor for different gust averaging times. It can use two different equations to do so, the Wieringa gust factor equation and the UL gust factor equation.
## Wieringa Gust Factor Equation
Wieringa (1973) provides an equation to estimate the gust factor for any gust averating time:
where:
GFt is the gust factor for averaging time t [unitless]
I is the turbulence intensity [unitless]
T is the length of time step [s]
t is the gust averaging time [s]
Openwind uses the Wieringa equation to estimate gust factors for different gust averaging times, such as in the high wind hysteresis logic of the Wind Turbine Output window. Although Wieringa stipulates that the above equation is valid for (T / t) ≥ 7, Openwind uses it for a wider range of t, up until the gust factor drops to 1, which happens near (T / t) = 4, and then for larger values of t, it assumes a gust factor of 1. The graph below shows the output of the Wieringa equation subject to this limit:
Note that the equation above does not appear explicitly in Wieringa’s paper; it is a combination of two equations that appear in the paper, specifically the one the paper refers to as equation 8:
and the one the paper refers to as the equation below:
## UL Gust Factor Equation
UL developed its own equation to approximate the gust factor for any value of t:
where:
GFt is the gust factor for averaging time t [unitless]
GFз is the three-second gust factor [unitless]
t is the gust averaging time [s]
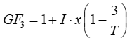
Openwind calculates the three-second gust factor using the following equation:
where:
GFз is the three-second gust factor [unitless]
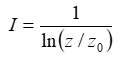
I is the turbulence intensity [unitless]
T is the time step length [s]
x() is the quantile function of the standard normal distribution
That last equation uses the fact that the maximum 3-second gust in a time step corresponds to a probability of exceedence of 3 / T, therefore a probability of non-exceedence of one minus that fraction. The quantile function of the standard normal distribution gives the number of standard deviations corresponding to that probability. For a 10-minute time step, the probability of non-exceedence of the maximum 3s gust is 0.995, and for that probability the quantile function x(0.995) gives a value of 2.576 standard deviations, so GF3 = 1 + 2.576 I.
